Contoh Surat Perjanjian Penerimaan Wang

Dalam semua jenis surat pun, tajuk ialah elemen yang paling penting. 1) letak tajuk surat yang tepat. Contoh surat bukti penerimaan barang. Saya dengan ini mengesahkan bahawa saya telah menerima wang sebanyak rm pada daripada untuk bayaran terima kasih.

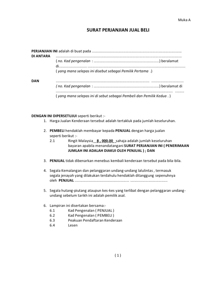
Contoh Surat Perjanjian Terima Wang Pendahuluan
Contoh Surat Perjanjian Terima Wang Pendahuluan

August 5, 2016 at 9:14 am. Saya dengan ini mengesahkan bahawa saya telah menerima wang sebanyak rm pada daripada untuk bayaran terima kasih. 1) letak tajuk surat yang tepat. Surat akuan penerimaan wang deposit pdf. Berikut ini contoh surat yang baik dan benar serta menarik perhatian yang dapat anda gunakan dalam tema maupun format penulisan surat. Sebagai contoh, di sini saya akan menuliskan urutan proses kerja penerimaan barang sesuai dengan sop di gudang sebagai referensi anda.

Contoh Surat Perjanjian Penerimaan Wang. Pada zaman ini, di mana e-mel dan mesej teks telah pun mengambil alih trend menulis surat rasmi, tidak rasmi atau perniagaan, anda mungkin perlu mengetahui beberapa taktik yang berbeza untuk menulis surat. Kandungan surat akan menentukan penekanan apa diletakkan di perenggan utama.

Terdapat pelbagai jenis surat untuk dipilih untuk pelbagai majlis.

Surat pelantikan, permohonan kerja, surat pengesahan kerja dan surat pemberhentian semuanya penting dalam hal pekerjaan. Surat maaf, surat perpisahan, surat maaf, surat terima kasih, surat perpisahan dan surat simpati semuanya adalah cara rasmi untuk mengatakan perkara tidak rasmi.

Walaupun mereka tidak formal, adalah sangat penting untuk menulis mesej yang ingin anda sampaikan dengan cara yang jelas dan profesional. Kepada tulis ini, anda mungkin memerlukan sedikit bantuan daripada pakar. Tidak mengapa jika anda tidak mendapatnya dengan segera. Anda akan mempelajari asas-asas semasa anda menulis lebih banyak surat.

Terdapat banyak keperluan yang mesti dipenuhi semasa menulis surat dalam perubatan, pengesyoran, pengesahan dan kes perniagaan formal atau tidak formal. Berikut adalah beberapa petua dan petua untuk menulis apa-apa jenis surat.

Pertama, masukkan nama dan alamat anda di bahagian atas setiap halaman surat.

Kedua, anda perlu menulis salam yang sesuai. Ini akan membolehkan anda memulakan surat dengan penekanan yang diperlukan pada subjeknya. Ini bermakna anda harus memberi tumpuan terutamanya pada perkara penting yang anda tulis surat itu, kecuali menulis surat tidak rasmi.

Akhirnya, perkara yang paling anda perlukan ialah kemahiran komunikasi yang sangat baik untuk menulis apa-apa jenis surat. Bukan niat anda untuk meremehkan kuasa ahli jawatankuasa atau orang yang diberi kuasa untuk membaca kemahiran menulis anda. Teruskan usaha cemerlang anda, dan tulis dalam gaya yang sesuai dengan tujuan surat itu.

Anda boleh menggunakan surat untuk sebarang tujuan. Anda boleh menulis surat untuk meminta maaf kepada seseorang atas kesilapan yang anda lakukan, atau kerana membeli sebuah rumah. Ini adalah surat pujukan kecil daripada seseorang yang bekerja untuk isu dunia.

Trending Now..

Popular Posts

Surat Amaran Dan Buang Sekolah

Contoh Surat Perjanjian Wang Jaminan

Kerja Surat Pengesahan Jawatan

Contoh Surat Pengunduran Diri Karyawan Kontrak

Contoh Surat Kebenaran Membawa Anak Saudara Ke Luar Negara

Stpm Bahasa Melayu Penggal 2 Surat Kiriman Rasmi

Proses Surat Rayuan Kwsp Untuk Pengeluaran Kesihatan

Surat Memohon Kebenaran Untuk Tandatangan Bagi Pihak

Contoh Surat Aduan Police Karena Ditipu Di Malaysia

Surat At Taubah Ayat 80